BPSC Jobs 2026 – Advertisement No 3-2026

BPSC Jobs 2026 – Advertisement No 3-2026
  • Organization: Balochistan Public Service Commission Quetta Balochsitan
  • Testing Organization: Balochistan Public Service Commission Quetta Balochsitan
  • Announcement Date: Thu 26 March, 2026
  • Last Date: Thu 30 April, 2026

BPSC Jobs 2026 – Advertisement No 3-2026

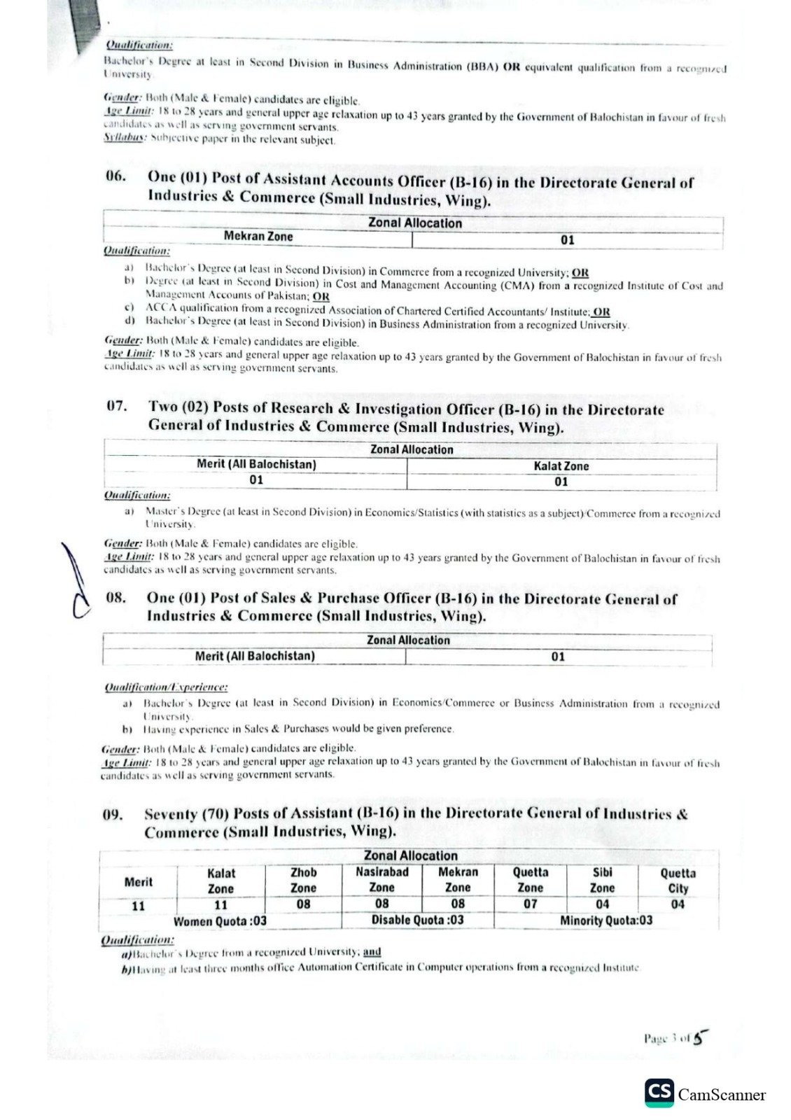
BPSC Jobs 2026 – Advertisement No 3-2026 announce the Permanent career opportunities for the post of See Below Ad in Balochistan, Quetta for the fresh and experienced candidates on Permanent basis who have Check Advertisement degree. Posted date of this post is 26/03/2026 and the last date is 30/04/2026. if you are eligible for this job apply before due date.

View Jobs in Public Service Commission

Jobs in Federal Public Service Commission (FPSC)

Jobs in Balochistan Public Service Commission (BPSC)

Jobs in Punjab Public Service Commission (PPSC)

Jobs in KPK Public Service Commission (KPPSC)

Jobs in Sindh Public Service Commission (SPSC)


  • Post(s): -
    Last Date: Thu 30 April, 2026
  • Qualification Required: Check Advertisement
  • Cities: Balochistan,Quetta
 
BPSC Jobs 2026 – Advertisement No 3-2026 BPSC Jobs 2026 – Advertisement No 3-2026 BPSC Jobs 2026 – Advertisement No 3-2026 BPSC Jobs 2026 – Advertisement No 3-2026 BPSC Jobs 2026 – Advertisement No 3-2026
Comment Box (Sign In) to Comment